开通微信公众号已经有6年多,照牛排从未发表叠山公(谢枋得)相关的文章,甚至很少提及,因为仔细考究起来,连平上坪谢氏始祖复渊公与江西弋阳叠山公的关系是有很多疑点的。窃以为,若没有铁证,与其像小说家一样进行各种臆测和杜撰,不如暂时搁置祖源问题,研究复渊公位下历历可考的后裔更实际。无奈近些年来,多次被人问及复渊公与叠山公关系,反复解释,不如索性把我所知写下来,供大家参考和讨论。
①出生时间:六代人仅相隔91年?
按照目前连平上坪谢氏现存最老的族谱(即1638年的崇祯三修谱),在枋得公与复渊公之间还隔着4代人,其世系源流被记录如下:枋得→刚中→超→伯瑾→景文→复渊。该世系流传甚广,可信吗?

▲连平上坪谢氏族谱源流图记载复渊、复澈公
据上坪族谱记载,复渊公出生于元朝延祐丁巳(1317年),其子福宝公生于1351年、福珍公生于1354年、福顒公生于1366年,其孙仲玄公生于1385年、仲贵公生于1410年、仲辉公生于1416年,复渊公往下各代后裔的生殁时间都有明确的记载,没有问题。另根《宋史·列传第一百八十四·谢枋得》记载,元朝忽必烈至元二十六年(1289年),不愿降元的谢枋得在元大都悯忠寺绝食殉国,享年64岁,据此反推,叠山公出生在南宋宝庆二年(1226年),这也是史学界公认的。

▲明朝崇祯版三修谱记载谢复渊
古人修族谱采用年号+干支纪年,当我们把干支年份换算成公元年份,会暴露出很多问题——若按上坪老谱的吊丁图,枋得公比他的五世孙(来孙)复渊公只大91岁,在遭遇家国不幸、流离失所之时,又如何保证平均18年延续一代人呢?上坪崇祯三修族谱出版至今虽已388年,在全广东现存的谢氏族谱中都算是“老资格”了,但三修谱距离复渊公1375年逝世却已过去263年,明末写明初,两百多年前的事谁说得清楚呢?更何况在明朝洪熙乙巳年(1425年),三世祖仲玄、仲贵、仲辉三公始创《上坪谢氏族谱》时,家谱就已大部分“毁于兵燹”,之后匪乱时故居又遭遇火灾。复渊公往上先祖的世系,恐怕是很难考证了。

▲宋史记载谢枋得(叠山公)
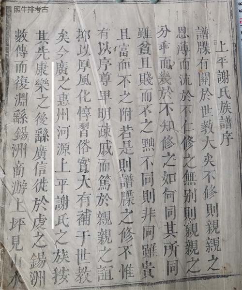
②上坪谱序中的疑点
最早把上坪谢氏与叠山公联系在一起的,是萧璁那篇谱序“……今广之惠州河源上平谢氏之族,按其先康乐(叠山公的祖上谢灵运)之后,由广信徙于虔之锡洲,数传而复渊由锡洲商游上坪,见山水清秀、地广人稀,定居于斯……”现存的上坪三修谱无封面,前面可能有缺页,在乾隆四修谱时已收录该谱序。照牛排在之前的文章中考证过,该谱序的落款时间、萧聪的官职都有问题。

▲连平上坪谢氏四修族谱萧璁谱序
之后嘉靖丁未(1547年)刘勉励、万历癸巳(1593年)和平县教谕李应朝给上坪谢氏写的谱序,叙事跟萧聪谱序相近。但到了乾隆戊辰(1748年)四修谱,惠州知府谢王生作序时首次把复渊公迁居上坪的时间从“至元间(1335-1340年)”篡改成洪武三年(1370年),同一部族谱中开始出现两个迁居时间。在1993年的七修谱中,文辉宗亲在那篇《上坪谢氏溯源》中进一步演绎为“……周氏病故……明洪武三年即1370年,53岁的复渊公携福宝(八郎19岁)、福珍(九郎16岁)、福颙(十郎4岁)迁上坪开基……”,授人以柄,近年来成为某些龙川人的笑料。
在复渊公的生平记载中未提及谢枋得(叠山公),但在三修以后的谱序、吊丁图中一直把连平上坪谢氏与叠山公关联在一起。在明清时期,民间修谱者为了提高门第、扩大名声、激励子孙,往往会把自己的祖宗与名人关联,这在各姓族谱中是普遍存在的文化现象(就像全球号称有2700万刘氏认刘开七为始祖一样)。自从1286年殉国开始,叠山公成为媲美文天祥的忠臣大IP,七百多年来受到各地谢氏的热烈追捧和攀附,目前全国有很多人以"叠山公后裔"自居。在史料缺失的情况下,世远年湮,也很难证伪。
②上坪叠山宗祠
不管真伪如何,有族谱作理论支撑,上坪的叠山宗祠是实实在在地建起来了,而且有两座。连平上坪谢氏大宗祠始建于明末天启乙丑(1625年),比连平建州还早十年,其前身便是叠山宗祠——在上坪崇祯三修谱中,有一篇后续族谱未收录的文章《为谢氏传》,由时任和平知县刘渐撰写,其中提到:“宋叠山先生派衍西江,系分广东和平县惠化上坪开基……有耳孙继政者,读书按礼,思及于水木本源,捐资80两而买田心宅场一所,山川颇丽,所作祠堂……本县嘉其义而以匾额“匪直”为谢氏旌孝……”

▲和平知县刘渐为上坪谢氏建叠山祠旌匾写传
在连平忠信仲智公后裔的族谱中,详细记载了该支系从上坪外迁忠信时,叠山祠的位置、朝向、堂号、门匾、石柱、石鼓、柱头信息。其中明确提到“大门企匾:文节宗祠”,与1993年七修谱中的大祠照片一致,且2018年大祠八修之前的祖公牌也是写“宋文节枋得公系衍”。文节,是枋得公的门生为其立的谥号。

▲仲智公房外迁忠信之谱记载大祠简况,谢云茂摄
除了下坝的大祠外,上坪下楼村西禅寺旁边还有一座“叠山宗祠”,该祠始建于民国32年(1943年),重修于2004年,很多人误以为明末时被陈万烧毁的叠山祠是这座。

▲连平上坪下楼叠山宗祠
清道光29年(1849年),陂头谢氏先祖在连平州城兴建“文节书院”。但这些又能说明什么呢?在北京、江西弋阳、上饶、湖北阳新等地都建有纪念性质的叠山祠堂和书院(文/连平上坪 谢添泉)。
往期回顾(戳下方标题):
州志-你不知道的雍正《连平州志》 | 揭秘连平起源之迷 | 秀才、举人、贡士、进士的区别
牟爷是如何在连平白手起家的 | 《连平州志》卷之一:星野 | 《连平州志》卷之一:舆图
《连平州志》卷之一:八景图 | 连平新八景 | 建置1 | 建置2 | 建置3 | 建置4 | 建置5
《连平州志》卷之二:连平疆域、山川 | 连平风俗
《连平州志》卷之三:连平城池 | 连平公署 | CCTV央视《中国影像方志》连平篇
《连平州志》卷之四:连平学宫先贤先儒 | 祭礼祭品 | 冒籍 | 乡饮酒礼
《连平州志》卷之五:祀典-祭先农坛 | 祭关帝庙 | 贡赋1 | 贡赋2 | 贡赋3 | 贡赋4 | 贡赋5
《连平州志》卷之六:兵防1 | 兵防2 | 津梁 | 秩官 | 选举 | 貤封和乡饮宾
《连平州志》卷之七:人物,宦迹.武绩.人瑞.德量.义略 | 孝行.方正.耆硕.善行.耆寿 | 列女.贤母.寿母
《连平州志》卷之八:物产 | 古迹·寺观.坟墓 | 祥异.饥荒.旱涝.兵事
《连平州志》卷之九:艺文1,内管岩石壁记/征浰头祭文/蒙泉记 | 艺文2,鼎建州治碑记
《连平州志》卷之九:艺文3,修岩坡路碑记/重修三多桥记/捐修葫芦峒山路序
《连平州志》卷之九:艺文4,文山二女墓记/宋故丞相文信公二女墓铭/祭文烈女双正墓文
《连平州志》卷之九:艺文5,重修州城记/连平州明伦堂记/重建城隍庙记/祝圣寺记
《连平州志》卷之九:艺文6,牟公祠堂记/重修牟公祠序/牟公祠聚元会序
《连平州志》卷之九:艺文7,连平形胜记/圣迹岩记 | 艺文8,建立义学碑记
《连平州志》卷之九:艺文9,待赠若周何公传(何多才) | 艺文10,黄玫石先生传(黄志正)
《连平州志》卷之九:艺文11,曾得忠、王问臣合传 | 艺文12,何母颜孺人传
《连平州志》卷之九:艺文13,刘正烈传、墓、亭 | 艺文14,叶烈妇传
《连平州志》卷之十:诗1,牟应受的诗 | 诗2,何深的诗 | 诗3,颜希圣的诗 | 诗4,连平杂诗
族谱-上坪谢氏历次修谱时间 | 上坪谢氏明清老族谱 | 复渊公迁居上坪的时间
连平上坪谢氏的字辈 | 连平上坪谢氏家约(家训) | 仲辉公的兄弟 | 俊玮公派贤达
上坪谢氏七修谱错漏存疑 | 朝位公文武世家 | 从小水外迁的朝佳公后裔 | 岭下懋年公记
祠堂-上坪谢氏大宗祠历次修缮时间 | 上坪谢氏复渊公祠八修记 | 福珍、福颙公祠及洞主庙 | 上坪四角楼
仲富、仲贵公后裔祠堂分布 | 辉公后裔祠堂分布 | 南逸(俊玮)公祠重修记 | 朝应公祠始建年代初探
俊芳公后裔祠堂分布 | 俊璇公后裔祠堂分布 | 瑄公后裔祠堂分布 | 琪公后裔祠堂分布
连平颜氏府第分布 | 消失的连平学宫 | 消失的福音堂(连平中学前身)
连平谢氏八房祠(芝兰书室) | 连平上坪黄坑屋谢氏诚文公祠 | 2023年连平上坪谢氏祠堂进伙回顾
乡土-连平州城大小及攻城纪事 | 连平历年水灾 | 连平妇女(1946年 | 1928年) | 上坪三洞村办学记
连平革命斗争史 | 神枪手谢泮飘 | 黄埔县长谢静生 | 扬州起义何健生 | 颜伯焘厦门抗英及革职返乡
连平颜氏谁的官衔最高 | 忠信榕树下何氏 | 上坪大事记 | 上坪古代名人录 | 清代武举谢辉扬
下坪文魁丘庄 | 连平考上清华北大的学子(中国高考状元现状) | 连平中学史 | 忠信中学史
蒙泉公剿匪往事 | 大湖寨的翰林曾冠英 | 上坪民意“镇长”谢朝佩 | 颜世清(书画收藏)、颜宝航
连平人民医院首任院长翁润苍 | 缅怀上坪古坑人谢开育 | 连平上坪祠堂文化简述 | 连平客家山歌
连平上坪客家锣鼓(锣鼓乐谱) | 连平过年(春节)风俗 | 十二月节索民谣 | 上坪老八盘 | 上坪粽子
连平上坪西禅寺 | 上坪谢氏十三景 | 下坪八景 | 上坪水口桥的来历 | 上坪街老照片 | 鹰嘴蜜桃史
连平电影院放映史 | 连平丧葬习俗 | 辉公墓(21年 | 24年) | 文龙公历代祖墓考 | 上正继诚公考略
朝征公墓 | 贵东市兴衰 | 新屋厦枫杨古树 | 颜宣甫“重游泮水”
颜检墓的现状和修造故事 | 明代顺阳王朱有烜墓出土记 | 安徽宏村游记 | 后收藏时代 | 上莞圣旨牌匾
本文出自【照牛排考古】博客,文章不定期更新,转载请以链接的形式注明本文地址
本文地址:http://www.zhaoniupai.com/kaogu/archives/304.html