最近在酝酿两篇文章,一是下楼琪公房的嘉作公,二是满池塘朝征公房的夷友公。嘉作公现在在连平上坪的知名度似乎并不高,与他在族谱中的地位极不相称。我们常用“族谱单开一页”来描述个人成就,嘉作公不是单开一页,乾隆老谱对他的记载足足用了六页纸(12面)!乙巳中秋,云茂叔给照牛排发来一篇广州仙湖街谢氏大宗祠(芝兰书室)的文章,引起我的极大兴趣,该祠正好与包括嘉作公在内的上坪名流有关。
1)雍正年间广州建祠,上坪谢氏祖公概况
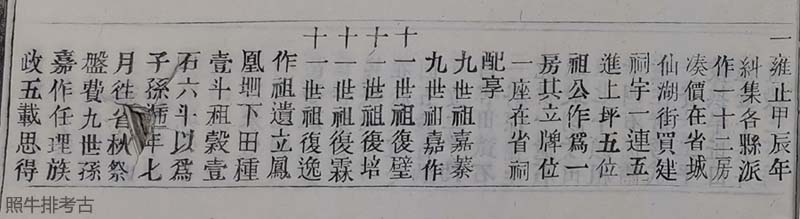
道光版《连平州上坪谢氏五修族谱》记载嘉作公时提到:“雍正甲辰年(1724年),纠集各县派作一十二房,凑价在省城仙湖街买建祠宇,一连五进,上坪五位祖公作为一房,共立牌位一座,在省祠配享——九世祖嘉蓁、嘉作,十一世祖复璧、复培、复霖、复逸。作祖遗立凤凰垇下田种一斗,租谷一石六斗,以为子孙递年七月往省秋祭盘费……”

▲连平上坪谢氏在省城仙湖街买建祠宇
1993年的上坪谢氏七修谱几乎删除了所有祖公的蒸偿田种资料,所以多数上坪人是没见过上面这段记载的,不知在300年前我们祖宗还有这么一份家业,以至于2002年广州拆除该祠时我们一无所知。上坪人在上坪修祠很常见,在连平州城修祠的不多,在省城修祠的可谓凤毛麟角,从侧面印证了一个家族的丁财实力,以下分别进行说明——
谢嘉蓁(1543-1611年),族谱吊丁图中亦作“嘉秦”,号肖松,在出生不满周岁时父亲去世,由节母卓氏抚养成人。仲玄公房瑄公派的嘉蓁公,与琪公派的嘉作公,成长经历相似,都是年少失怙,慈母都姓卓,且守节而长寿,后裔人丁兴旺。嘉蓁公,是上正继诚公、惠西继政公之父,谢复培(1601-1670年?)、谢复璧(1609-1667年)、谢复霖(1614-1679年)三公的祖父。继政公曾经协剿陈万、督建连平州城,1625年创建上坪谢氏大宗祠时曾捐银80两买田心宅场作为祠基。嘉蓁公一族自明末至今都是上坪望族,其后裔功名、德行、善举刊载于州府两志及族谱者不计其数,与连平何氏、颜氏名流也有交往和联姻。清朝康熙年间,复璧公的八个儿子曾经合伙在连平州城东门内蕃豆二街(红星二街)创建四进八房祠。
谢嘉作(1562-1653年),号养性,在出生三个月时父亲去世,由节母卓氏抚训成人。白手起家,田产众多,好善乐施,建有西云山、九峰山(在流洞岽背)两所庵堂,遵母命在陈田坑修建永兴桥(隆兴桥),并舍田以作膳僧、修桥之资,《连平州志·耆寿及津梁》有相关记载。嘉作公及其母卓氏都曾多次受到时任和平知县及连平知州的旌奖赐匾,嘉作公派下还有很多乡饮冠带宾(比如谢继杨、谢继桃、谢元雯),其后裔于清朝雍正初年在广州城与其他族房合伙建祠,雍正末年在连平州城北楼买建四进祠宇。
谢复逸(1648-1720年),号达英,是仲斌公房孔茂公派裔孙,在东阳石门擎曾建有九井十八厅,也系上坪名门。康熙壬寅(1722年)重建上坪谢氏大宗祠时,谢君飏(赓言)几兄弟以父达英公之名捐银80两,并捐蒸偿田种四斗五升给大祠。
雍正年间省祠配享的六位上坪祖公(嘉蓁、嘉作、复培、复璧、复霖、复逸),当时大多都已去世几十年,并未直接参与建祠,下广州建祠的是六位祖公的后代,是复渊公派12世裔孙(比如达英公的长子谢赓言)。上坪谢氏族谱对于雍正初年在仙湖街建祠一事的记载,仅见于嘉作公的世系录,其它配享的祖公无相关记载。照牛排考古www.ZhaoNiuPai.com/KaoGu
2)乾隆年间重修广州仙湖街申伯公祠(芝兰书室)
到了乾隆四年,因仙湖街谢氏大宗祠坏烂,众议修整。上坪谢氏五修谱在记载继政公的曾孙谢皇熹(1667-1743年)时也提到此事:“字儒宗……越乾隆庚申(1740年),在羊城仙湖街督造申伯公大宗祠。待年逾古稀,挺力肩承险阻风波,两历寒暑始告成功,劳瘁千里勿辞。”

▲皇熹公在羊城仙湖街督造申伯公大宗祠
乾隆年间重修仙湖街谢氏宗祠时,每房大主出银30两,小主出银4两,如期交足银两者,该房神位将会供奉在仙湖街新祠堂的中厅。当时配享的大小神主有变化,各县大主共13房,其中连平上坪占2房。连平上坪房共有12位祖公,未见嘉作公和复霖公,“嘉泰”可能是嘉蓁之误,新增了谢继诚及其子孙(继诚公次子谢复启,复启公之孙谢皇义,复培公第三子谢呈茂,复璧公第四子谢呈瑛,复霖公长子谢呈球、第四子谢呈璞,还有一位可能记错名字的谢皇正)。

▲羊城仙湖街芝兰书室连平上坪房祖牌神主,图源:谢杰强
大主十三房,交足银两者每房还能拈阄分得新祠堂中的一间屋,此时上坪谢氏除嘉蓁、嘉作两公合房分得祠堂中栋左边一间屋外,继诚公房也分得祠堂上栋左边厢房一间,房屋由各房自行修缮。谢氏13房分别来自广东惠州府连平州、肇庆府开平县、高明县、德庆州、广州府东莞县、从化县、增城县、新宁县、新会县、恩平县、南海县金山、春江、连州、扶南望头。

▲广州城仙湖街谢氏大宗祠各房阄拾得房间,图源:谢杰强
3)广州仙湖街谢氏大宗祠(芝兰书室)简介
谢氏申伯公大宗祠(芝兰书室),位于广州城归德门内(今广州市越秀区大南路北侧仙湖街92号),坐北向南,四进三栋,占地面积约700平方米,前至大街,后至盐道横街,左邻任兄弟尝屋,右邻何家尝屋,南面距离珠江仅700多米。此处原为顺德县都宁司林头乡郑汝任的房产,郑氏为了凑买其它物业,开始是想以650两卖给房亲兄弟的,没人要。雍正元年(1723年),在中人汇南、蒙槐堂、劳国君及屋主兄弟郑汝孝的撮合见证下,该物业被谢家通族谢道参、谢文生、谢学信、谢云山、谢式候、谢元甫、谢友绅、谢益公、谢仪仲、谢简修、谢秀朝、谢子成、谢期觐、谢瑯彩、谢作可、谢奕忻、谢期郁、谢君泽、谢振声、谢参周、谢应公、谢周芳、谢友伯、谢赓言、谢亮工等公合伙买下,作为始祖申伯公大宗祠,价银500两正,原契由瑯彩先生收执。

▲广州府城及仙湖街的位置,图源:《中国国家地理》
我们上坪东阳石门擎的州庠生谢赓言(生于1693年),是达英公(谢复逸)之子,讳君飏,天资颖异,识冠群伦,慷慨好义,器量恢宏。康熙壬寅(1722年)三修连平上坪谢氏大宗祠时,时年30岁的赓言公摄守族政捐资督理,次年直接参与广州城仙湖街谢氏大宗祠的买建。雍正三年,连平知州胡功成因丁忧回乡,途经上坪时,旌匾盛赞君飃公“颇有范希文(范仲淹)之德,几于陈太丘(陈寔)之风”,希望他族的族长效法君飃公。乾隆壬戌(1742年),赓言公再次被推选为上坪族政,秉正不阿,振纲肃纪,解纷息争之余,犹以作兴人才为务。
连平上坪与广州相距两百多公里,为何要跑这么远到省城建祠?雍正元年夏,广东博罗县举人谢周锡在那篇《省城仙湖街谢氏大宗祠引》中有讲:“柱史之藏,周宣王元舅申伯公,出封于谢,因以邑为姓。始于陈留,盛于汉晋,显于唐,赫奕于宋元明以至于今,岿然巨族。庾岭之南,派衍支分,计罕联络熟识,其昭穆、科名、里居难知梗概。恭遇圣天子雍正元年特开恩科,于四月广览英才,父兄率子弟之操觚者赴棘闱,鏖战三场而竣,孝廉、明经、衿士数十辈群谐余言——宜建大宗以序栗主,联同姓以毖焄蒿,可觏之眉,可诣籍贯,萃各房于广厦,晤千里于华堂……宾兴载燕,吾宗之揣省试者,得以聚于斯、饮于斯、谈经讲艺恒于斯……”

▲谢周锡《省城仙湖街谢氏大宗祠引》,图源:谢杰强
由此可见,建祠的主要目的是为了方便广东各地谢氏士子到省城参加三年一次的科举考试(乡试),而且仙湖街距离广州城东门旁边的棘闱考场(广东贡院)仅有2公里远,距离巡抚部院(今广州市政府)、府学、提督学政署(药洲)和大佛寺更近。仙湖街谢氏申伯公大宗祠,亦称为“芝兰书室”,也可佐证这一点,其作用与乾隆年间连平隆街翰林黄叔显、颜希深之父颜容穆、进士何廷楠等人在北京筹设的惠州会馆,以及道光年间连平陂头谢氏在连平城兴建的“文节书院”是类似的。
一介书生,从上坪来到人生地不熟的省城广州参加乡试,有个落脚的地方,又有其它同姓同年相互学习交流,有助于科甲及第。继诚公派下考取的贡生谢皇寅、谢廷萼、谢叠崙、谢汝昌等人,当年可能都曾在羊城仙湖街芝兰书室备考。
据《广州越秀古书院概观》记载,清代时广州的书院数量居全国之首,北京路西侧的大小马站书院街最具代表性。直到20世纪80年代,在北京路周围约3平方公里的区域内(包括仙湖街),仍有109间清代书院(其中仙湖街以北500米的大马站街14间,小马站街13间,越华路10间),加上双门底、西湖路、龙藏街、九曜坊等地的56间清代书坊,人文荟萃,形成全国罕见的书院群,谢氏在仙湖街建芝兰书室可谓恰得其所。

▲广州越秀区大南路仙湖街
据叶曙明著《广州传》,1918年广州开始拆除城墙,并在城墙基上修马路,其中一段东西走向的马路东头原为广州城大南门,因而得名大南路。北侧有一条与大南路平行的仙湖街,仙湖街长约450米,东接北京路,西抵广州起义路,原来是挨着广州南城墙的城内街道,清代康雍年间建有濂溪祠(祀周敦颐)、白沙祠(祀陈献章)、朱文公祠(祀朱熹)。
仙湖街的名字起源——河南上蔡人刘䶮(刘岩)在广州建立南汉政权后,令人在越王台西南约1里处开凿湖泊,修筑行宫园林,并聚集方士在此炼取丹药。这片位于城西的五百余丈长的湖泊被称为西湖,又称为仙湖,明成化以后仙湖遂渐干涸成陆。据明屈大均著《广东新语》,金花(又名金华),少为女巫,不嫁,善能调媚鬼神,后来溺死湖中。后人名其地为仙湖,并建灵应祠(金花庙)祭祀她,相传妇女来此求子颇为灵验,前往祈嗣的妇女络绎不绝。仙湖街西侧有惠福巷。
4)广州仙湖街谢氏大宗祠(芝兰书室)被拆除
2000年,书院街被广州市政府划为第一批历史文化保护街区,此后随着城市建设的推进,到2020年时,书院街仅剩庐江书院等6间书院保存完整,拥有近300年历史的仙湖街谢氏大宗祠(芝兰书室)也彻底消失在历史洪流中。
2002年2月26日,广州市国土资源和房产管理局对外发出拆迁公告——“因城市建设需要,经市人民政府批准,我局决定收回越秀区路(详见附件)地段范围国有土地使用权。在上述地段内的房屋及其附属物,均须于2002年2月9日起至2003年2月9日止拆迁完毕,以腾出土地兴建小学(非住宅)。现就有关事项公告如下:一、上述地段内的房屋及附属物,由广州市越秀区教育局委托广州市正华房地产拆迁有限公司实施拆迁;二、上述地段内的房屋及附属物的所有权人及使用人必须服从城市建设需要,在规定期限内迁出……”

▲广州市房屋拆迁公告(抄录),图源:谢杰强
翻开广州2002年的《房地产导刊》,能看到大量类似内容的拆迁公告,拆迁后用来兴建商业、中小学、商品房、污水泵站、停车场、港口码头及水产批发市场等等,房主除了获得经济补偿款和安置外,一般改变不了大局。1906年科举制度被废除后,仙湖街谢氏大宗祠(芝兰书室)的原有功能被弱化。从1956年开始,房产部门开始对谢氏大宗祠内的住户收租。到2002年时,仙湖街谢宗祠内居住着90户360多人,其中谢姓宗亲占9成,不知有没有连平上坪人?
限期拆除一座已存在数百年之久的古建筑,广东各界谢氏宗族是难以接受的。同年6月底,南海、开平谢氏为制止拆迁而奔走相告,南海大沥镇的谢岳宗长发起组成“保护谢氏大宗祠筹备会”,并在仙湖街附近的惠福西路某会场商议对策,来自广州、从化、增城、东莞、佛山南海、顺德、肇庆、台山、恩平、开平等地的一百多位谢氏宗亲参会,谢岳宗长还请了一位资深律师。

▲南海、开平谢氏为制止拆迁而奔走相告,图源:谢杰强
据律师发言,房产部门要取回产权证及其他证据。与会宗亲认为,我谢氏现住祠内宗亲几百人,有的已住几代,公认是祖屋,从来没有产权争议,谢氏族谱记载明确,使用权划分清楚,政府未划分农村、城镇户口时,各地宗亲每天都有人进出入住,若非自己的祖业,哪来这么方便?广州市房产部门1956年后才向住户收租。

▲保护谢氏大宗祠筹备会议记录,图源:谢杰强
同年8月,美国洛杉矶南加州谢氏宗亲会在给广州市人民政府的信中写道:“……谢氏旅外华侨心系祖国,每年都有大批谢氏华侨回乡观光、旅游、探亲,并到广州“谢家祠-芝兰书室”落脚拜祖。若被拆迁,广东各界的14房华侨在广州就没有落脚拜祖之地了,这直接挫伤了我们爱国爱乡之心……”旅居美国华盛顿的谢氏宗亲一致反对拆迁谢家祠,希望有关当局再三考虑,免致后悔莫及。
同年9月,祖籍台山三八镇的旅美爱国华侨谢天锡宗亲给时任广州市长林树森写信,言辞恳切地希望当局收回成命。天锡宗亲是美国昭伦公所的元老,也是广州芝兰书室的董事,兼开平《潭溪月报》社的董事长。早年赴美谋生,心系桑梓,八九十年代回台山老家捐资500多万元兴办谢天锡小学及其它公益事业,是德高望重的侨领。

▲旅美爱国华侨谢天锡给广州市长的信,图源:谢杰强

拆迁公告发出后,连平上坪谢氏似乎并不知情,不知最后一批住在芝兰书室的上坪人是哪一代,产权有没有转让?但即使出面制止,恐怕也难挡大势。城市建设如滚滚洪流,保护祖祠如蚍蜉撼树。300年前,上坪谢氏祖先为了方便本族子弟赴省应考,在广州开创这份祖业,燕翼诒谋,垂裕后昆,宗功浩荡,可惜芝兰书室在完成使命之后终究退出历史舞台。(文/连平上坪 谢添泉)
往期回顾(戳下方标题):
州志-你不知道的雍正《连平州志》 | 揭秘连平起源之迷 | 秀才、举人、贡士、进士的区别
牟爷是如何在连平白手起家的 | 《连平州志》卷之一:星野 | 《连平州志》卷之一:舆图
《连平州志》卷之一:八景图 | 连平新八景 | 建置1 | 建置2 | 建置3 | 建置4 | 建置5
《连平州志》卷之二:连平疆域、山川 | 连平风俗
《连平州志》卷之三:连平城池 | 连平公署 | CCTV央视《中国影像方志》连平篇
《连平州志》卷之四:连平学宫先贤先儒 | 祭礼祭品 | 冒籍 | 乡饮酒礼
《连平州志》卷之五:祀典-祭先农坛 | 祭关帝庙 | 贡赋1 | 贡赋2 | 贡赋3 | 贡赋4 | 贡赋5
《连平州志》卷之六:兵防1 | 兵防2 | 津梁 | 秩官 | 选举 | 貤封和乡饮宾
《连平州志》卷之七:人物,宦迹.武绩.人瑞.德量.义略 | 孝行.方正.耆硕.善行.耆寿 | 列女.贤母.寿母
《连平州志》卷之八:物产 | 古迹·寺观.坟墓 | 祥异.饥荒.旱涝.兵事
《连平州志》卷之九:艺文1,内管岩石壁记/征浰头祭文/蒙泉记 | 艺文2,鼎建州治碑记
《连平州志》卷之九:艺文3,修岩坡路碑记/重修三多桥记/捐修葫芦峒山路序
《连平州志》卷之九:艺文4,文山二女墓记/宋故丞相文信公二女墓铭/祭文烈女双正墓文
《连平州志》卷之九:艺文5,重修州城记/连平州明伦堂记/重建城隍庙记/祝圣寺记
《连平州志》卷之九:艺文6,牟公祠堂记/重修牟公祠序/牟公祠聚元会序
《连平州志》卷之九:艺文7,连平形胜记/圣迹岩记 | 艺文8,建立义学碑记
《连平州志》卷之九:艺文9,待赠若周何公传(何多才) | 艺文10,黄玫石先生传(黄志正)
《连平州志》卷之九:艺文11,曾得忠、王问臣合传 | 艺文12,何母颜孺人传
《连平州志》卷之九:艺文13,刘正烈传、墓、亭 | 艺文14,叶烈妇传
《连平州志》卷之十:诗1,牟应受的诗 | 诗2,何深的诗 | 诗3,颜希圣的诗 | 诗4,连平杂诗
族谱-上坪谢氏历次修谱时间 | 上坪谢氏明清老族谱 | 复渊公迁居上坪的时间
连平上坪谢氏的字辈 | 连平上坪谢氏家约(家训) | 仲辉公的兄弟 | 俊玮公派贤达
上坪谢氏七修谱错漏存疑 | 朝位公文武世家 | 从小水外迁的朝佳公后裔 | 岭下懋年公记
祠堂-上坪谢氏大宗祠历次修缮时间 | 上坪谢氏复渊公祠八修记 | 福珍、福颙公祠及洞主庙 | 上坪四角楼
仲富、仲贵公后裔祠堂分布 | 辉公后裔祠堂分布 | 南逸(俊玮)公祠重修记 | 朝应公祠始建年代初探
俊芳公后裔祠堂分布 | 俊璇公后裔祠堂分布 | 瑄公后裔祠堂分布 | 琪公后裔祠堂分布
连平颜氏府第分布 | 消失的连平学宫 | 消失的福音堂(连平中学前身)
连平谢氏八房祠(芝兰书室) | 连平上坪黄坑屋谢氏诚文公祠 | 2023年连平上坪谢氏祠堂进伙回顾
乡土-连平州城大小及攻城纪事 | 连平历年水灾 | 连平妇女(1946年 | 1928年) | 上坪三洞村办学记
连平革命斗争史 | 神枪手谢泮飘 | 黄埔县长谢静生 | 扬州起义何健生 | 颜伯焘厦门抗英及革职返乡
连平颜氏谁的官衔最高 | 忠信榕树下何氏 | 上坪大事记 | 上坪古代名人录 | 清代武举谢辉扬
下坪文魁丘庄 | 连平考上清华北大的学子(中国高考状元现状) | 连平中学史 | 忠信中学史
蒙泉公剿匪往事 | 大湖寨的翰林曾冠英 | 上坪民意“镇长”谢朝佩 | 颜世清(书画收藏)、颜宝航
连平人民医院首任院长翁润苍 | 缅怀上坪古坑人谢开育 | 连平上坪祠堂文化简述 | 连平客家山歌
连平上坪客家锣鼓(锣鼓乐谱) | 连平过年(春节)风俗 | 十二月节索民谣 | 上坪老八盘 | 上坪粽子
连平上坪西禅寺 | 上坪谢氏十三景 | 下坪八景 | 上坪水口桥的来历 | 上坪街老照片 | 鹰嘴蜜桃史
连平电影院放映史 | 连平丧葬习俗 | 辉公墓(21年 | 24年) | 文龙公历代祖墓考 | 上正继诚公考略
朝征公墓 | 贵东市兴衰 | 新屋厦枫杨古树 | 颜宣甫“重游泮水”
颜检墓的现状和修造故事 | 明代顺阳王朱有烜墓出土记 | 安徽宏村游记 | 后收藏时代 | 上莞圣旨牌匾
本文出自【照牛排考古】博客,文章不定期更新,转载请以链接的形式注明本文地址
本文地址:http://www.zhaoniupai.com/kaogu/archives/277.html